Introducción a los
disipadores
de calor
Propagación del calor
|
El estudio térmico de los dispositivos de potencia es
fundamental para un rendimiento óptimo de los mismos. Esto
es debido a que en todo semiconductor, el flujo de la corriente
eléctrica produce una pérdida de
energía que se transforma en calor.
El calor produce un incremento de la
temperatura del dispositivo. Si este incremento es excesivo e
incontrolado, inicialmente provocará una
reducción de la vida útil del elemento y en el
peor de los casos lo destruirá.
En Electrónica de Potencia la
REFRIGERACIÓN juega un papel muy importante en la
optimización del funcionamiento y vida útil del
semiconductor de potencia.
Propagación del calor:
En todo semiconductor el flujo de la
corriente eléctrica produce una pérdida de
energía que se transforma en calor. Esto es debido al
movimiento desordenado en la estructura interna de la unión.
El calor elevará la
energía cinética de las moléculas
dando lugar a un aumento de temperatura en el dispositivo; si este
aumento es excesivo e incontrolado provocará una
reducción de la vida útil del dispositivo y en el
peor de los casos su destrucción.
Es por ello que la evacuación
del calor generado en el semiconductor es una cuestión de
gran importancia para asegurar el correcto funcionamiento y
duración del dispositivo.
La capacidad de evacuación
del calor al medio ambiente podrá variar según el
tipo de cápsula pero en cualquier caso será
demasiado pequeña, por lo que necesita una ayuda adicional
para transferir el calor disipado mediante un dispositivo de mayor
volumen y superficie conocido como disipador de calor, el cual hace de
puente para evacuar el calor de la cápsula al medio ambiente.
Para este proceso existen varias formas
de trasmitir el calor al exterior (Al ambiente).
La experiencia demuestra que el calor
producido por un foco calorífico se propaga por todo el
espacio que lo rodea. Esta transmisión del calor puede
producirse de tres formas:
1.-
CONDUCCIÓN:
Es el principal medio de transferencia
de calor. Se realiza por la transferencia de energía
cinética entre moléculas, es decir, se transmite
por el interior del cuerpo estableciéndose una
circulación de calor. La máxima cantidad de calor
que atravesará dicho cuerpo será aquella para la
cual se consigue una temperatura estable en todos los puntos del
cuerpo.
En este tipo de transmisión se debe tener en cuenta la
conductividad térmica de las sustancias (cantidad de calor
transmitido por unidad de tiempo, superficie, gradiente de temperatura).
2.-
CONVECCIÓN:
El calor de un sólido se
transmite mediante la circulación de un fluido que le rodea
y este lo transporta a otro lugar, a este proceso se le llama
convección natural. Si la circulación del fluido
está provocada por un medio externo se denomina
convección forzada.
3.-
RADIACIÓN:
El calor se transfiere mediante
emisiones electromagnéticas que son irradiadas por cualquier
cuerpo cuya temperatura sea mayor a cero grados Kelvin. El estado de la
superficie influye en gran medida en la cantidad de calor radiado. Las
superficies mates son más favorables que las pulidas y los
cuerpos negros son los de mayor poder de radiación, por este
motivo se efectúa un ennegrecimiento de la superficie
radiante. La transferencia de calor por radiación no se
tiene en cuenta puesto que a las temperaturas a que se trabaja
ésta es despreciable. |
Cálculo del disipador
Parámetros que intervienen en el cálculo
|
Para
que un semiconductor
disipe la potencia adecuada, hay que mantener la temperatura de la
unión por debajo del máximo indicado por el
fabricante.

|
| Circuito equivalente de las
resistencias térmicas a considerar |
El paso de la corriente
eléctrica produce un aumento de la temperatura de la
unión (Tj).
Si ésta se quiere mantener a
un nivel seguro, debemos evacuar al exterior la energía
calorífica generada por la unión.
Para que se produzca un flujo de
energía calorífica de un punto a otro, debe
existir una diferencia de temperatura. El calor pasará del
punto más caliente al más frío, pero
aparecen factores que dificultan este paso.
A estos factores se les denomina
resistencias térmicas.
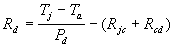
Por lo tanto, aprovechando la ley de ohm
realizamos la siguiente comparación eléctrica
mostrada en la figura adjunta.
Asemejaremos las temperaturas a
tensiones, las resistencias térmicas a las resistencias
óhmicas y el flujo de calor a una corriente
eléctrica.
Por lo tanto, aprovechando la ley de ohm
realizamos la siguiente comparación eléctrica
mostrada en la figura adjunta.
Asemejaremos las temperaturas a
tensiones, las resistencias térmicas a las resistencias
óhmicas y el flujo de calor a una corriente
eléctrica. |
| Al
igual que en un circuito
eléctrico, se puede decir que: |
|
(1)
|
| De la figura del circuito
equivalente se
obtiene la
expresión: |
|
(2)
|
Cálculo del disipador
Resistencia térmica
|
| En
la siguiente figura se
muestra la igualdad entre el circuito equivalente de resistencias
térmicas y los elementos en un montaje real:
|
 |
Rjc
= Resistencia unión - contenedor
Rcd = Resistencia contenedor - disipador
Td = Temperatura del disipador
Rd = Resistencia del disipador
Tc = Temperatura del contenedor
Ta = Temperatura ambiente
Tj = Temperatura de la unión
|
Cálculo del disipador
Resistencia Unión -
Cápsula (Rjc)
|
En
este caso el foco calorífico se genera en la
unión del propio cristal semiconductor, de tal forma que el
calor debe pasar desde este punto al exterior del encapsulado.
Generalmente este dato lo suministra el fabricante, y
dependerá del tipo de cápsula del dispositivo.
Aparecerá bien directamente o indirectamente en forma de
curva de reducción de potencia. En la figura siguiente se
muestra este tipo de curva.
|
|

|
| Esta
muestra la potencia en
función de la temperatura de la cápsula. En ella
la pendiente de la recta dada es la resistencia unión
cápsula. La fórmula que se utiliza para el
cálculo de esta resistencia es: |
|
(3)
|
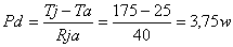
Donde
estos datos se obtienen de la curva de reducción de
potencia, que será propia de cada dispositivo. Deberemos de
tener en cuenta que Pd es la dada por el fabricante y no la que
disipará el dispositivo en el circuito. Normalmente Tc vale
25 ºC.
Si tomamos de un manual los datos correspondientes del IRFP250N
serán:
Pdmáx=214W
Tjmáx =175 ºC
Sustituyendo estos valores en la siguiente ecuación, se
obtiene el valor de la Rjc:
|
|
(4)
|
| y
ésta es,
precisamente, la Rjc
indicada en los manuales para el IRFP250N. |
Cálculo del disipador
Resistencia cápsula -
Disipador (Rcd)
|
Es la resistencia térmica
entre el semiconductor y el disipador.
Este valor depende del sistema de
fijación del disipador y el componente, y del estado de
planitud y paralelismo de las superficies de contacto, puesto que a
nivel microscópico, solo contactan por unos puntos, quedando
huecos de aire que entorpecen la transmisión del calor.
También depende del tipo de
material que se interponga entre ambas superficies de contacto. Los
elementos que se sitúan entre la cápsula y el
disipador pueden ser de dos tipos:
a. Pastas
conductoras de calor, que pueden ser o no ser conductoras de la
electricidad.
b.
Láminas aislantes eléctricas que se pueden
emplear conjuntamente con siliconas conductoras de calor como mica,
kelafilm, etc. También las hay conductoras de calor que no
precisan pasta de silicona.
El tipo de contacto entre
cápsula y disipador podrá ser:
*
Directo.
* Directo
más pasta de silicona.
* Directo
más mica aislante.
* Directo
más mica aislante más pasta de silicona.
El valor de esta resistencia
térmica influye notablemente en el cálculo de la
superficie y longitud que debe disponer la aleta que aplicaremos al
dispositivo a refrigerar.
Cuanto más baja es Rcd menor
será la longitud y superficie de la aleta requerida.
Por ejemplo, para una cápsula
TO.3 se tiene que con contacto directo más pasta de silicona
la Rcd = 0,12 ºC/W, que con contacto directo Rcd = 0,25
ºC/W, que con contacto directo más mica y
más pasta de silicona Rcd = 0,4 ºC/W, y que con
contacto directo más mica Rcd = 0,8 ºC/W.
Por lo tanto podemos decir que cuando no
sea necesario aislar el dispositivo, el tipo de contacto que
más interesa es el directo más pasta de silicona,
ya que da el menor valor de Rcd y si hubiese que aislar con mica
interesa montar mica más pasta de silicona ya que la Rcd es
menor que si se monta solo con mica.
Por ello podemos obtener la siguiente
conclusión:
La mica aumenta la Rcd mientras que la
pasta de silicona la disminuye y como se ha dicho cuanto más
pequeña sea la Rcd menor superficie de aleta refrigeradora. |
Cálculo del disipador
Resistencia del disipador (Rd)
|
Representa el
paso
por convección al aire del flujo calorífico a
través del elemento disipador.
|
Este
dato será, en la práctica, la
incógnita principal de nuestro problema, puesto que
según el valor que nos de el cálculo,
así será el tipo de aleta a emplear.
Depende de muchos factores:
potencia a disipar, condiciones de la superficie, posición
de montaje y en el caso de disipadores planos factores como el grosor
del material y el tipo de encapsulado.
Para el cálculo de la resistencia se pueden utilizar las
siguientes fórmulas: |
|
(5) (6) (7)
|
Este valor de Rja no es el que da el
fabricante ya que éste la suministra sin disipador, y la que
hay que utilizar es con disipador.
El fabricante la facilita como suma de
Rjc y Rca puesto que ignora el tipo de disipador que utilizaremos.
Una vez calculada la Rd se pasa a elegir
la aleta refrigeradora.
Para la elección de la aleta,
habrá que tener en cuenta que el tipo de encapsulado del
dispositivo a refrigerar sea el adecuado para su montaje en la aleta
disipadora que se haya elegido.
Después de cumplir la
condición anterior hay que calcular la longitud o la
superficie del disipador elegido.
Para ello es necesario disponer de uno de los dos
tipos de gráficas que ofrecen los fabricantes de
disipadores, la Rd - longitud y la Rd - superficie.
Según la gráfica
de que se disponga se obtendrá un valor de longitud o un
valor de superficie de disipador que hay que montar para refrigerar
adecuadamente el dispositivo semiconductor. |
Cálculo del disipador
Resistencia Unión -
Ambiente
(Rja)
|
Como su
nombre
indica es la resistencia que existe entre la unión del
semiconductor y el ambiente.
|
|
Con
esta resistencia deberemos de distinguir dos casos, el de resistencia
unión ambiente con disipador y sin disipador.
Cuando se habla de resistencia unión ambiente sin disipador,
nos referimos a la resistencia unión contenedor junto con la
contenedor ambiente: |
|
(8)

|
| (figura b) |
|
(9)
|
| (figura a) |
 |